<7、ちょっといやな数学の復習>
これからの講座では数学の計算がひんぱんに出てきます。これらは音響を職業とする人にとっては基本中の基本なのでぜひ思い出して下さい。
1、分数の計算
小学校に戻って、分数の加減算、剰余算の計算のおさらいをします。
通分する、分子、分母のひっくり返りなど確認してください。

2、10の乗数と計算
以外に忘れている10の乗数の意味と乗数計算です。前項の補助単位と併せて確認してみてください。


3、∞と0の計算
この無限と0についても勘違いしたままの人が多いものです。ここで改めて確認して下さい。

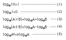
4、対数計算の公式
高校で文系を選択した方ははじめて目にするものです。しかし音響分野では後に出てくる<dB(デシベル)>を求めるのに必須なものです。音響技術の基本ですので覚えて下さい。

対数カーヴ

対数基本公式

演習問題
5、対数表
